稽納二極體

原理說明:請參考電子學教材稽納二極體

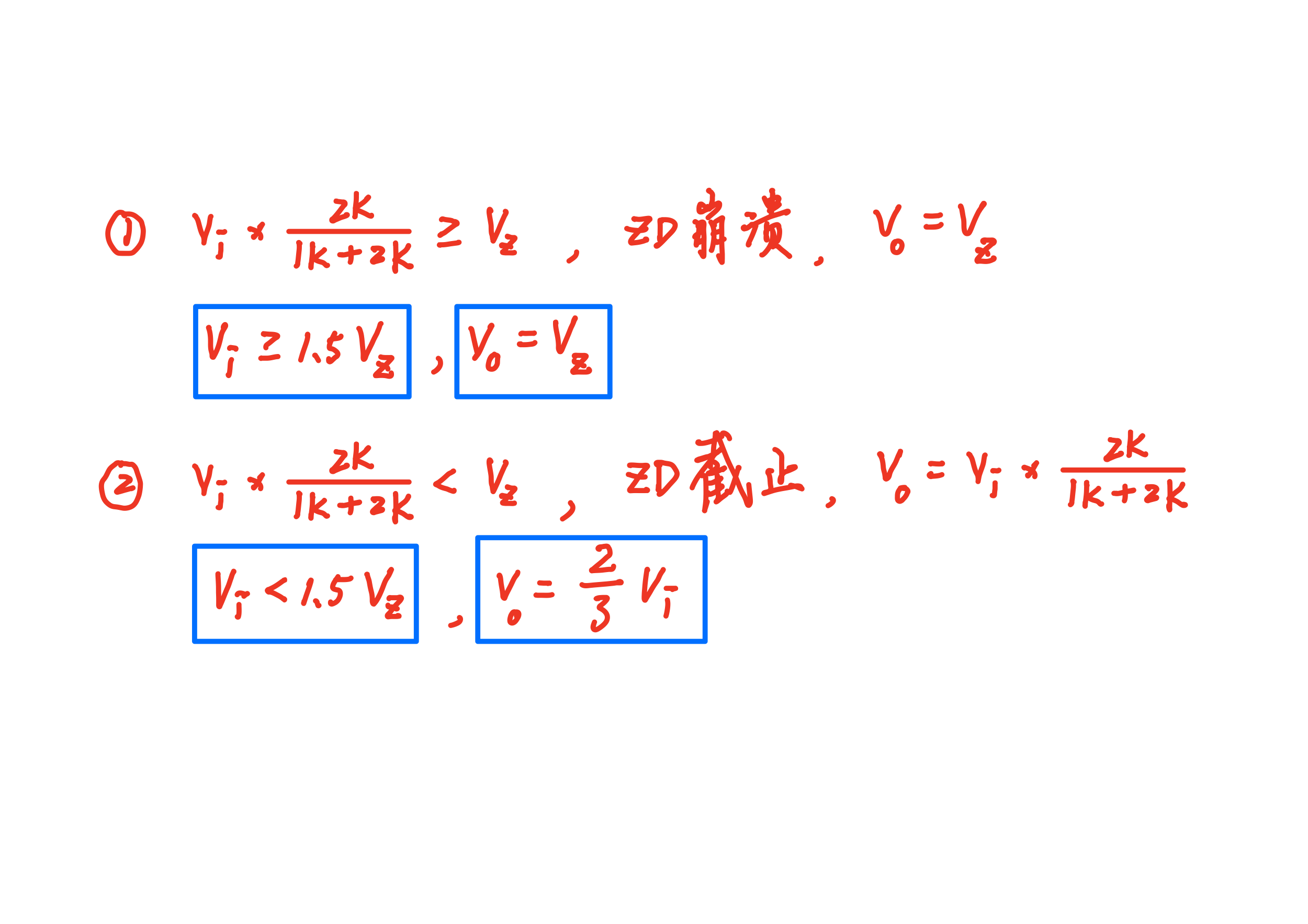
2-5 工作一:稽納二極體穩壓電路

工作一:稽納二極體穩壓電路
2-5 工作一:稽納二極體穩壓電路

2-5 工作二:稽納二極體雙截波電路

工作二:稽納二極體雙截波電路
2-5 工作二:稽納二極體雙截波電路

本實習Vz1=5.1V, Vz2=6.2V

稽納二極體雙截波電路實驗結果
稽納二極體雙截波電路實驗結果 Vo(+)=6.8V, Vo(-)=-5.8V