Skip to content
2026-05-28 星期四
漢之民也
漢風唐韻,千年古道傳文明;民富國強,萬里江山展宏圖。
首頁
微處理機實習
程式設計實習
電子學實習
電子學
推甄實作
學習歷程檔案
Menu
Search
Close
首頁
微處理機實習
程式設計實習
電子學實習
電子學
推甄實作
學習歷程檔案
搜尋關鍵字:
Close search
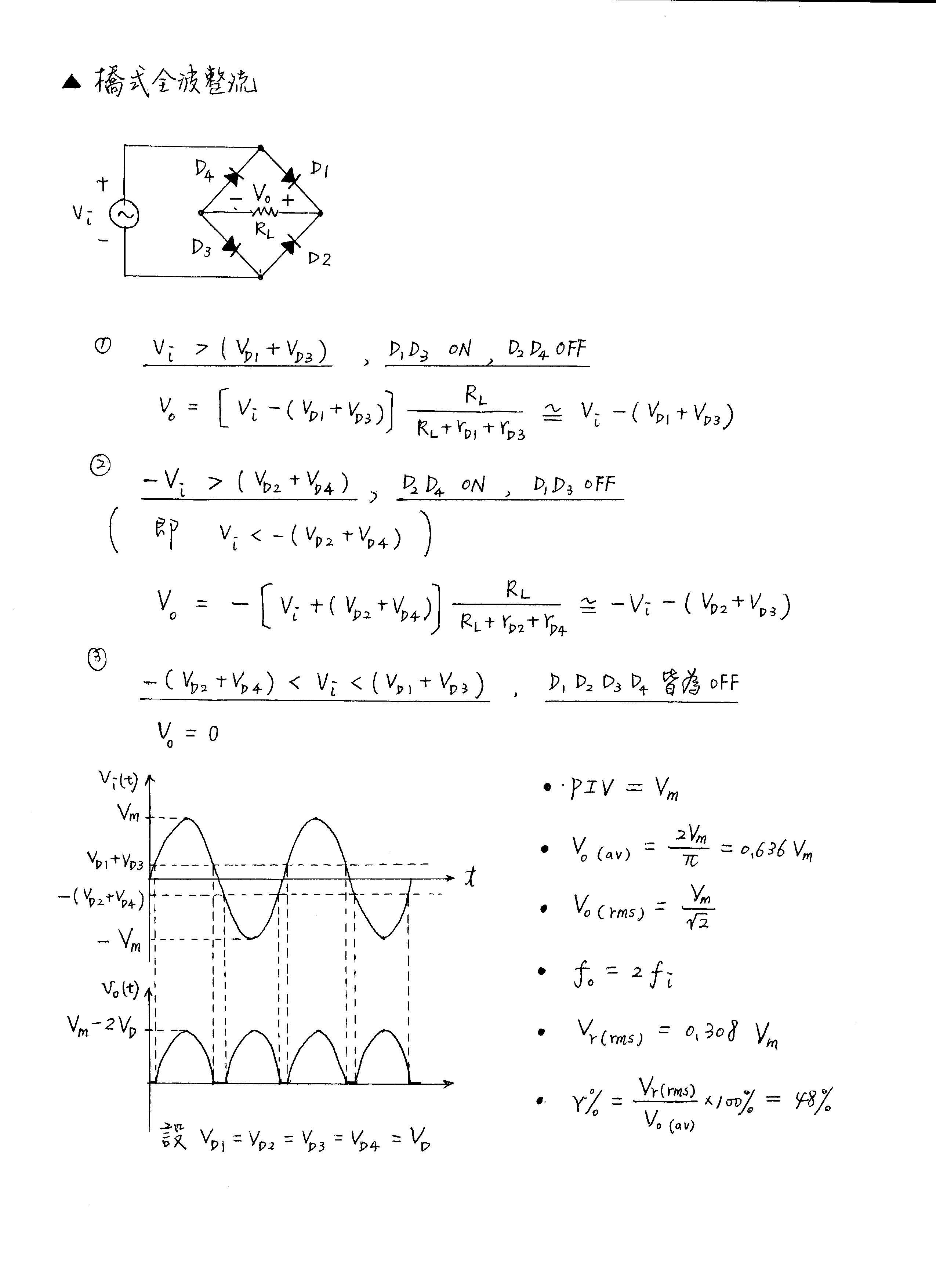
二極體整流、濾波電路
2024-09-23
2024-09-23
hanmin
文章導覽
Previous:
二極體整流、濾波電路
Next:
稽納二極體